PCh7 Lec4

From MC Chem Wiki
Revision as of 21:04, 24 March 2020 by Bes (talk | contribs)
Jump to navigation Jump to search

3D Rotation (Sec 7.3)

Okay, just like every other quantum system that we have been working with, we must define the Hamiltonian operator (total energy operator), find an acceptable solution for the eigenfunctions, and then determine the eigenvalues (total energy). Because we are working in 3D, it is not real convenient to use x, y, and z, so like 2D rotation, we are shifting over to define the system in terms of spherical polar coordinates (spc).

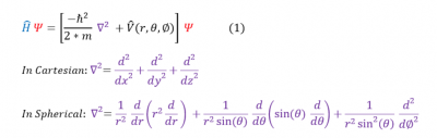
At this stage of QM, we introduce a new term called the Laplacian, an upside down triangle;

Screen Shot 2020-03-24 at 3.58.05 PM.png