Difference between revisions of "PCh10 15 lec 2"

From MC Chem Wiki
Jump to navigation Jump to search
Line 25: Line 25:
 
First, these Exp(-r<sup>2</sup>) functions are Gaussian functions. If we use only one Gaussian function to replace the Exp(-r) function, then we get a really bad answer. So what we do is use more than one Gaussian function...or we use a '''''linear combination of Gaussian functions''''' to estimate the Exp(-r) function.
 
First, these Exp(-r<sup>2</sup>) functions are Gaussian functions. If we use only one Gaussian function to replace the Exp(-r) function, then we get a really bad answer. So what we do is use more than one Gaussian function...or we use a '''''linear combination of Gaussian functions''''' to estimate the Exp(-r) function.
  
[[File:Screen Shot 2020-05-04 at 9.38.00 AM.png|400px]]
+
[[File:Screen Shot 2020-05-04 at 9.38.00 AM.png|300px]]
 
:- where:
 
:- where:
:::''φ<sub>j</sub>(r)'' is the estimated wavefunction
+
:::''φ<sub>j</sub> (r)'' is the estimated wavefunction (the solution)
:::''f<sub>i</sub>(r)'' is the Gaussian function
+
:::''f<sub>i</sub> (r)'' is the Gaussian function
:::c<sub>i</sub> is the weighting factor
+
:::''c<sub>i</sub>'' is the weighting factor

Revision as of 14:42, 4 May 2020

(5/4/20, bes)

Good morning.

Hope you got outside this weekend to enjoy the nice weather. My garden is 50% planted...i hope we don't get a freeze! Only this an one more "lecture" before we move into finals week.

Grades

I am sure many of you are curious about your grades; i am working on summary page for you and hope to have this done by Tuesday noon.

Comp Chem Lab #4 (last Thurs)

As a reminder, the reporting for the Comp Chem lab #4 is due by Weds at 5 pm, but if you get it to me by Tuesday am, i can work it into the grade summary.

As a reminder
- it is best to do MP2/6-31G(d) for both forms of phenolphthalein and CIS/6-31G(d) for the UV-Vis calcs.
- it is okay to do HF/6-31G(d) for both forms of phenolphthalein and HF/6-31G(d) for the UV-Vis calcs.
- at minimum you should be able to do HF/6-31G(d) to optimize the geometry.

Final Exam

We are scheduled to have the final exam on Sat, May 9th. I have not yet worked on this, but i hope to have it "ready" by Sat am and then collect it by Weds, May 13th at 5pm.

Continuing with Chapter 10/15...more about wavefunctions

So, recall that we are working under the conditions of the "orbital approximation" (Sec 10.1), ie, the hydrogen atom wavefunctions are not a bad place to start to figure out numerically what the multi-electron wavefunctions should look like. We have made our first adjustment to these H-atom wavefunctions by replacing the nuclear charge (Z) with (ζ)... Screen Shot 2020-04-27 at 9.48.37 AM.png

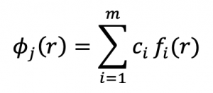
Looking towards to doing lots of calculations, this H-atom wavefunction offers an additional challenge that we can address at this point. This issue arises due to the ability of computers to take the integral of terms that look like Exp(-r) vs Exp(-r2). Personally, as a "computational chemist," I have never looked deeply into this issue and have taken the word of theoretical chemist (the ones who define underlying computational approaches). There might be a day where this computational limitation is overcome, but we are not there yet. So, for example, how do we approximate the true H-atom like wavefunctions with a Exp(-r2) function...

First, these Exp(-r2) functions are Gaussian functions. If we use only one Gaussian function to replace the Exp(-r) function, then we get a really bad answer. So what we do is use more than one Gaussian function...or we use a linear combination of Gaussian functions to estimate the Exp(-r) function.

Screen Shot 2020-05-04 at 9.38.00 AM.png

- where:
φj (r) is the estimated wavefunction (the solution)
fi (r) is the Gaussian function
ci is the weighting factor