PCh10 15 lec 2

From MC Chem Wiki
Jump to navigation Jump to search

(5/4/20, bes)

Good morning.

Hope you got outside this weekend to enjoy the nice weather. My garden is 50% planted...i hope we don't get a freeze! Only this an one more "lecture" before we move into finals week.

Grades

I am sure many of you are curious about your grades; i am working on summary page for you and hope to have this done by Tuesday noon.

Comp Chem Lab #4 (last Thurs)

As a reminder, the reporting for the Comp Chem lab #4 is due by Weds at 5 pm, but if you get it to me by Tuesday am, i can work it into the grade summary.

As a reminder
- it is best to do MP2/6-31G(d) for both forms of phenolphthalein and CIS/6-31G(d) for the UV-Vis calcs.
- it is okay to do HF/6-31G(d) for both forms of phenolphthalein and HF/6-31G(d) for the UV-Vis calcs.
- at minimum you should be able to do HF/6-31G(d) to optimize the geometry.

Final Exam

We are scheduled to have the final exam on Sat, May 9th. I have not yet worked on this, but i hope to have it "ready" by Sat am and then collect it by Weds, May 13th at 5pm.

Continuing with Chapter 10/15...more about wavefunctions

So, recall that we are working under the conditions of the "orbital approximation" (Sec 10.1), ie, the hydrogen atom wavefunctions are not a bad place to start to figure out numerically what the multi-electron wavefunctions should look like. We have made our first adjustment to these H-atom wavefunctions by replacing the nuclear charge (Z) with (ζ)... Screen Shot 2020-04-27 at 9.48.37 AM.png

Looking towards to doing lots of calculations, this H-atom wavefunction offers an additional challenge that we can address at this point. This issue arises due to the ability of computers to take the integral of terms that look like Exp(-r) vs Exp(-r2). Personally, as a "computational chemist," I have never looked deeply into this issue and have taken the word of theoretical chemist (the ones who define underlying computational approaches). There might be a day where this computational limitation is overcome, but we are not there yet. So, for example, how do we approximate the true H-atom like wavefunctions with a Exp(-r2) function...

First, these Exp(-r2) functions are Gaussian functions. If we use only one Gaussian function to replace the Exp(-r) function, then we get a really bad answer. So what we do is use more than one Gaussian function...or we use a linear combination of Gaussian functions to estimate the Exp(-r) function.

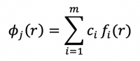
Screen Shot 2020-05-04 at 9.38.00 AM.png

- where:
φj (r) is the estimated wavefunction (the solution),
fi (r) is the Gaussian function containing the ζ term,
ci is the weighting factor.

WebMO Wavefunctions

Screen Shot 2020-04-16 at 7.51.30 AM.png


You have been using WebMO for quite some time and now i can explain to you the names of the "Basis Sets" (sec 15.7)

- Minimum: STO-3G: the "3G" means that all electron wavefunctions are estimated using 3-Gaussian functions. The STO (Slater-type orbitals) makes historical reference to a more complicated function (eq. 15.53) that has now been replaced with these Gaussians. Yes, there are STO-1G or STO-4G, or even STO-5G basic sets where the STO function is estimated with 1, 4, or 5 Gaussians; these are all not so great...there are better ways to do this...
- Basic: 3-21G: this is a "split-valence" basis set, where the valence electrons (inner and outer) and core electrons are treated differently. in a 3-21, the core electron wavefunctions are estimated using 3 Gaussians, the "inner core" valence electron wavefunctions are estimated using 2 Gaussians, and the "outer" valence electron wavefunctions are estimated using only 1 Gaussian function.
- Routine: 6-31G(d): this is a more involved "split-valence" basis set. In a 6-31G(d), the core electron wavefunctions are estimated using 6 Gaussians, the "inner core" valence electron wavefunctions are estimated using 3 Gaussians, and the "outer" valence electron wavefunctions are estimated using only 1 Gaussian function. In addition, there are "d-orbital" functions added into the linear combination...

Note: if you are conducting a calculation for an atom like CH4, then at minimum you need a 1s-orbitals to describe the H-atoms, and 1s-orbital, 2s-orbital and 2p-orbitals to describe the C-atom. If the wavefunction only uses estimations for the 1s, 2s, 2 p orbitals we would refer to this as the "minimum" number of orbitals that could be used in this calculation...anything less would not accomodate all of the electrons. The "STO-3G and 3-21G/X-YZG are minimum basis sets." If great flexibility in your calculation is required, then even for something like CH4, we include Gaussian functions to estimate the d-orbitals. The addition of d-orbitals in the calculation allows for some asymmetry in the electron density.

- Accurate: 6-311G+(2d,p): this is an even more involved "split-valence" basis set that now includes polarizing functions as well as other "diffuse" functions. In a 6-311G+(2d, p), the core electron wavefunctions are estimated using 6 Gaussians, the "first inner core" valence electron wavefunctions are estimated using 3 Gaussians, the "second inner core" valence electron wavefunctions are estimated using 1 Gaussian, and the "outer" valence electron wavefunctions are estimated using 1. The details of the polarizing and diffuse functions is beyond our conversation at this point.

Review Figures...

Please read the figure caption of the following figures to see how Gaussian Functions are being used to estimate the atomic wavefunctions:

- Figure 10.4 (15.12/15.13) and Tabel 10.1
- Figure 10.3
- Figure 10.6

End of lecture.