Difference between revisions of "PCh7 Lec4"
| Line 17: | Line 17: | ||
Some important issues come out of this discussion: | Some important issues come out of this discussion: | ||
:1) The 3D rotation solution is kind of like the 2D + 1D. In the 2D solution, the integer ''m<sub>l</sub>'' = 0, ±1, ±2, ±3, ..., so the 3D solution contains this integer as well as one more, ''l'' = 0, 1, 2, 3, ... This is not a whole lot different than when we discussed the 1D box --> ''"n"'', 3D box --> ""''n<sub>x</sub>, n<sub>y</sub>, n<sub>z</sub>,''" one integer for each dimension or as your text notes, one integer for each set of boundary conditions. | :1) The 3D rotation solution is kind of like the 2D + 1D. In the 2D solution, the integer ''m<sub>l</sub>'' = 0, ±1, ±2, ±3, ..., so the 3D solution contains this integer as well as one more, ''l'' = 0, 1, 2, 3, ... This is not a whole lot different than when we discussed the 1D box --> ''"n"'', 3D box --> ""''n<sub>x</sub>, n<sub>y</sub>, n<sub>z</sub>,''" one integer for each dimension or as your text notes, one integer for each set of boundary conditions. | ||
| − | :2) Even though there are two integers, the total energy is only dependent on one, ''l'' [[File:Screen Shot 2020-03-24 at 4.49.34 PM.png|100px]], so once we take into account the relationship between the integers, ie. ''l'' = 0, 1, 2, 3, ..., but ''m<sub>l</sub>'' = 0, ±''l'', this leads to energy levels that are degenerate. | + | :2) Even though there are two integers, the total energy is only dependent on one, ''l''; [[File:Screen Shot 2020-03-24 at 4.49.34 PM.png|100px]], so once we take into account the relationship between the integers, ie. ''l'' = 0, 1, 2, 3, ..., but ''m<sub>l</sub>'' = 0, thru ±''l'', this leads to energy levels that are degenerate. |
| + | :::''l'' = 0 has only 1 energy level (''m<sub>l</sub>'' = 0) | ||
| + | :::''l'' = 1 has only 3 energy level (''m<sub>l</sub>'' = -1, 0, +1) | ||
| + | :::''l'' = 2 has only 5 energy level (''m<sub>l</sub>'' = -2, -1, 0, +1, +2) | ||
| + | :::''l'' = 3 has only 7 energy level (''m<sub>l</sub>'' = -3, -2, -1, 0, +1, +2, +3) | ||
| − | '''''Draw in your notes an energy level diagram for 3D rotation | + | '''''Draw in your notes an energy level diagram for 3D rotation including l = 0, 1, 2, 3, make the spacing between the energy levels accurate.''''' |
Now onto the eigenfunctions, or the spherical harmonics... | Now onto the eigenfunctions, or the spherical harmonics... | ||
Revision as of 22:15, 24 March 2020
3D Rotation (Sec 7.3)
The following expects that you have your textbook open to section 7.3 and are reading long...
Okay, just like every other quantum system that we have been working with, we must define the Hamiltonian operator (total energy operator), find an acceptable solution for the eigenfunctions, and then determine the eigenvalues (total energy). Because we are working in 3D, it is not real convenient to use x, y, and z, so like 2D rotation, we are shifting over to define the system in terms of spherical polar coordinates (spc).
At this stage of QM, sometimes introduces a new term called the Laplacian, an upside down triangle. Although your text does not do this until the hydrogen atom (Ch 9), but here is a quick glimpse:
Note that the entire 3D rotation Schrodinger Equation is shown in your text in eq. 7.17. Spend a little time comparing eq. 7.17 to the Hamiltonian equation above...note to following:
- - the 1/r^2 has been factored out of the expression in eq. 7.17,
- - "m" has been replaced with "μ" the reduced mass in eq. 7.17, and
- - the potential energy term is zero.
Your text continues with a short discussion of how one might solve for the eigenvalues; this discussion involves the "separation of variables," which means instead of having one function Υ(θ, φ) dependent on both θ and φ, we now have a function that is a product of θ and φ, Θ(θ)*Φ(φ) (see eq. 7.20). Your text does not go into much more detail before providing you with the solution to the eigenfunction, the "spherical harmonics." Like the previous 2D rotation solution was given to you as the Hermite polynomials, hereto the solution is just stated to be the spherical harmonics.
Some important issues come out of this discussion:
- 1) The 3D rotation solution is kind of like the 2D + 1D. In the 2D solution, the integer ml = 0, ±1, ±2, ±3, ..., so the 3D solution contains this integer as well as one more, l = 0, 1, 2, 3, ... This is not a whole lot different than when we discussed the 1D box --> "n", 3D box --> ""nx, ny, nz," one integer for each dimension or as your text notes, one integer for each set of boundary conditions.
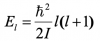
- 2) Even though there are two integers, the total energy is only dependent on one, l;
, so once we take into account the relationship between the integers, ie. l = 0, 1, 2, 3, ..., but ml = 0, thru ±l, this leads to energy levels that are degenerate.
- l = 0 has only 1 energy level (ml = 0)
- l = 1 has only 3 energy level (ml = -1, 0, +1)
- l = 2 has only 5 energy level (ml = -2, -1, 0, +1, +2)
- l = 3 has only 7 energy level (ml = -3, -2, -1, 0, +1, +2, +3)
Draw in your notes an energy level diagram for 3D rotation including l = 0, 1, 2, 3, make the spacing between the energy levels accurate.
Now onto the eigenfunctions, or the spherical harmonics...