Difference between revisions of "PChem312 f20 w12"

From MC Chem Wiki
Jump to navigation Jump to search
Line 40: Line 40:
 
::* this process does not appear to be exothermic or endothermic.
 
::* this process does not appear to be exothermic or endothermic.
 
:::'''''Take home: naturally occurring processes are not just dependent on the enthalpy of the process...there has be be more!'''''
 
:::'''''Take home: naturally occurring processes are not just dependent on the enthalpy of the process...there has be be more!'''''
 +
 +
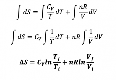
1st law --> 2nd law
 +
:[[File:Screen Shot 2020-11-09 at 8.25.50 AM.png|400px]]
 +
:[[File:Screen Shot 2020-11-09 at 8.26.15 AM.png|400px]]
 +
:[[File:Screen Shot 2020-11-09 at 8.26.38 AM.png|400px]]

Revision as of 14:27, 9 November 2020

...return to Chem 312 - home

Join Zoom Lecture Meeting
Join ZOOM Lab Meeting

Monday, Nov 2, 2020

Return and review Exam 2

Wednesday, Nov 4, 2020

Chapter 1-4 REVIEW

- Enthalpy (Chemistry perspective), 11:23 min
- "Energy - Internal energy/Enthalpy + Entropy" (Physics perspective), 10:04 min
- Recommended to view later--> Calorimetry, 11:56 min

Chapter 5 START

- Entropy (Chemistry perspective), 13:40 min

Thursday, Nov 5, 2020

Build a simple electric motor...like this

Why?

- As we begin our discussion of entropy (Chapter 5), we will explore spontaneous processes. In Sec 5.10 we will be introduced to the "heat engine" (a device that spontaneously rotates), a device that converts heat (q) into work (w). In the past, PChem lab has constructed a Stirling Engine (a heat engine), but the success rate has been low, so i decided to make a simpler "engine"...ie an electric motor where electrical current is converted to work.

During lab we also will "play" with some high rpm motors in small drones...and maybe the DJI Mavic Air.

Friday, Nov 6, 2020

Entropy Chapter (Ch 5)

Saul Steinberg 1978.jpg

Saul Steinberg

Saul Steinberg Foundation

Sec 5.1

Examples to consider:

- when a hot brick is placed into cold water there is a natural direction of heat flow.
  • this is an exothermic process from the perspective of the brick
  • this is an endothermic process from the perspective of the water
- a metal rod with a hot end and a cold ends has a natural direction of heat flow.
  • both exothermic and endothermic process are occuring
- when a valve separating a high pressure gas from a low pressure gas is opened, this is a natural direction of gas flow.
  • this process does not appear to be exothermic or endothermic.
Take home: naturally occurring processes are not just dependent on the enthalpy of the process...there has be be more!

1st law --> 2nd law

Screen Shot 2020-11-09 at 8.25.50 AM.png
Screen Shot 2020-11-09 at 8.26.15 AM.png
Screen Shot 2020-11-09 at 8.26.38 AM.png