Difference between revisions of "PChem322 s22 w2"
Jump to navigation
Jump to search
| (24 intermediate revisions by the same user not shown) | |||
| Line 22: | Line 22: | ||
====Class Assignment==== | ====Class Assignment==== | ||
| − | :1) | + | :1) In lab on Thursday i will make a few additional comments and do a demonstration related to Sec 1.7: Atomic Spectra. Please read this section and be prepared to discuss. |
| − | + | :2) I would like to point out the KEY EQUATIONS that show up on p. 33. These types of summaries are important to know about, so please note there existence. | |
| − | ==== | + | |
| + | :3) Start looking over Chapter 2. This is a very important introductory chapter that requires in-person explanation and hence we will begin in earnest this chapter on Monday, Jan 24th. There are a few introductory topics in section 2.1 that can be discussed now. | ||
| + | ::- '''continuous vs. discrete energy levels.''' The concept of discrete energy levels has been drilled into your chemistry education since Gen Chem. When we think about the periodic table, we think → 1s, 2s, 2p, etc.; these are the energy levels for the electron in the hydrogen atom...shown below: | ||
| + | |||
| + | :::[[File:energy_level_00.png|600px]] | ||
| + | |||
| + | ::These are discrete energy levels not continuous. In a very basic sense, you can think about this as the floors of CSB; there is, level/floor 1(Physics/Psyc), level/floor 2 (Biology/Business), level/floor 3 (Chemistry/Math), and level/floor 4 (HVAC systems). If humans were atoms at very low temperatures, all humans would be found on the lowest floor. As the humans/atoms warm up and have a bit more energy, they would begin to populate level 2. More energy would move more humans/atoms to higher levels; an extreme amount of energy would result in humans/atoms being ejected off the roof into space. Note: humans do not behave like atoms...this is too bad. | ||
| + | |||
| + | ::So the question in front of us is, at a given temperature what is the population of energy levels for a given system. If we have a collection of atoms, say 1000, then given the option to be in one of two different levels how many are in the lower energy L1 (or subscript "1") and how many are in the higher energy L2 (or subscript "2")? | ||
| + | |||
| + | :::_______ L2 | ||
| + | |||
| + | |||
| + | :::________L1 | ||
| + | |||
| + | Boltzmann Answered this question...see equation 2.2 (p 47). | ||
| + | :::[[File:Screen Shot 2022-01-21 at 8.15.32 AM.png|thumb|300px|none]] | ||
| + | :::''...corrected'' | ||
| + | ::- ''n'' is the population of state/level ''i'' or ''j'' (''n<sub>i</sub>'' or ''n<sub>j</sub>'', | ||
| + | ::- ''g'' is the degeneracy (ie number with this energy) of state/level ''i'' or ''j'' (''g<sub>i</sub>'' or ''g<sub>j</sub>'', | ||
| + | ::- ''E'' is the energy of state/level ''i'' or ''j'' (''E<sub>i</sub>'' or ''E<sub>j</sub>'', | ||
| + | ::- ''k'' is Boltzmann's constant | ||
| + | ::- ''T'' is the temperature. | ||
| + | :::'''NOTE: ''E<sub>i</sub> < E<sub>j</sub>'' | ||
| + | |||
| + | Please study example problem 2.1 (p 47) and see if you can recreate the left figure....this one: | ||
| + | :::[[File:Boltzmann_dist.jpg|thumb|300px|none]] | ||
| + | |||
| + | END | ||
| + | |||
| + | ==Thurs, Jan 20, 2022== | ||
| + | ===Announcements=== | ||
| + | :1) We will meet in CSB 377...in-person. | ||
| + | :2) You must bring your lab notebook to lab. | ||
| + | :3) If you wish, bring your laptop with Igor, Mathematica, and Excel loaded. Campus computer will be available with the mentioned software. | ||
| + | |||
| + | ===Lab Activities=== | ||
| + | All lab activities are documented in your carbon copy lab notebook. | ||
| + | |||
| + | ====1) Hydrogen Atom Emission Spectrum==== | ||
| + | :Sec 1.8 | ||
| + | :Demonstration | ||
| + | ====2) Mathematica Activity==== | ||
| + | :- Plot --> sin x over 0-->10 range | ||
| + | :- Plot --> 10*sin x over 0-->10 range | ||
| + | ::* Add Manipulate to function --> a*sin x | ||
| + | ::* Add Manipulate to function --> a*sin (b*x) | ||
| + | ::* Add Manipulate to function --> a*sin (b*x + c) | ||
| + | ::* Add Manipulate to function --> a*sin (b*x + c) + d | ||
| + | :[[Media:HW4_Wave_properties.pdf|Wave Properties worksheet]] | ||
| − | ==== | + | ====3) Linear Combination of "Colors": An Igor Activity==== |
| + | :a) Collect the UV-Vis spectra for red, yellow, and blue food coloring solutions. | ||
| + | :b) Download ".csv" file (ASCII format) to a USB drive and return to your computer. | ||
| + | :c) "Load" these three sets of data (6 waves in total) into Igor and plot all three data sets on a single graph (360 nm - 800 nm)...suggested wave naming...red &rarr: red_wl and red_abs, etc. | ||
| + | :d) Now, collect the UV-Vis spectrum of a mixture provided; download, load into Igor, and plot on separate graph. | ||
| + | ::We would now like to analyze this UV-Vis data of the mixture to determine the amount of each of the dyes present. What we are doing is "simulating" the mixture spectrum. | ||
| + | :e) "Duplicate" the mixture wave associated with the absorbance and call this wave "sim" for simulation. | ||
| + | :f) Go to the "command line" (box at the bottom of all Igor Experiments)...and type in sim=0.333*red_abs+0.333*yellow_abs+0.333*blue_abs, enter <--this command defines the wave "sim" | ||
| + | :g) Now append the sim trace/wave to the graph with your mixture spectrum...if the mixture spectrum was 1/3 red, 1/3 yellow, 1/3 blue, then it should match pretty well, but it probably is not 1/3, 1/3, 1/3... | ||
| + | :h) in the command window, click on the sim=... statement, it will highlight, then hit enter to move this to the command line...edit the 1/3 coefficients to make the sim match your mixture spectrum...done. | ||
===Fri, Jan 21, 2022=== | ===Fri, Jan 21, 2022=== | ||
====Announcements==== | ====Announcements==== | ||
| − | :1) | + | :1) Meet in CSB 318 at 11 am. |
| − | |||
| − | |||
Latest revision as of 14:20, 21 January 2022
Mon, Jan 17, 2022
Announcements
- 1) Good Monday morning and happy Martin Luther King Jr. Day! If you have not recently seen/heard the original August 28, 1963 (I was 4 month old) MLK Jr. speech, i suggest you watch it now. Here is the full 17 min audio of the speech and here is a shorter 6 min "highlight" video. This is without a doubt a beautiful and timely speech. A particular part resonates with me as a teacher...he notes, "I have a dream that my four little children will one day live in a nation where they will not be judged by the color of their skin but by the content of their character."
- 2) Heads-up...in lab this week we will meet in-person in CSB 377, the computer lab. I will expect that you have your laptops up and ready to run Excel, Igor, Mathematica...or you can us the computers in 377.
Class Assignment
- 1) Today i would like for you to foucs your attention on Sec 1.5 and 1.6. These sections cover the "particle-wave duality" of matter and light. Although the following video is a bit old, it still does a great job of 1st describing how particles behave, then how waves behave and then explains the double slit experiment...
- DOUBLE SLIT EXPERIMENT (5:13 min)
- 2) Complete the following worksheet that mainly focuses on Sec 1.5.
END
Weds, Jan 19, 2022
Announcements
- 1) Welcome to 5G (5th Generation) cell service. This technology, which in part uses the C-Band (~4GHz) microwave technologies, may interfere with the altimeter on commercial airlines, hence thee has been a lot of concern over the launch. The cell phone companies have agreed to not use this frequency around airports for the time being...stay tuned.
- 2) We will meet in CSB 373 at 2 pm this week for lab. I am estimating that we will finish around 5-5:30pm.
Class Assignment
- 1) In lab on Thursday i will make a few additional comments and do a demonstration related to Sec 1.7: Atomic Spectra. Please read this section and be prepared to discuss.
- 2) I would like to point out the KEY EQUATIONS that show up on p. 33. These types of summaries are important to know about, so please note there existence.
- 3) Start looking over Chapter 2. This is a very important introductory chapter that requires in-person explanation and hence we will begin in earnest this chapter on Monday, Jan 24th. There are a few introductory topics in section 2.1 that can be discussed now.
- - continuous vs. discrete energy levels. The concept of discrete energy levels has been drilled into your chemistry education since Gen Chem. When we think about the periodic table, we think → 1s, 2s, 2p, etc.; these are the energy levels for the electron in the hydrogen atom...shown below:
- These are discrete energy levels not continuous. In a very basic sense, you can think about this as the floors of CSB; there is, level/floor 1(Physics/Psyc), level/floor 2 (Biology/Business), level/floor 3 (Chemistry/Math), and level/floor 4 (HVAC systems). If humans were atoms at very low temperatures, all humans would be found on the lowest floor. As the humans/atoms warm up and have a bit more energy, they would begin to populate level 2. More energy would move more humans/atoms to higher levels; an extreme amount of energy would result in humans/atoms being ejected off the roof into space. Note: humans do not behave like atoms...this is too bad.
- So the question in front of us is, at a given temperature what is the population of energy levels for a given system. If we have a collection of atoms, say 1000, then given the option to be in one of two different levels how many are in the lower energy L1 (or subscript "1") and how many are in the higher energy L2 (or subscript "2")?
- _______ L2
- ________L1
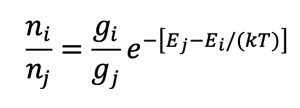
Boltzmann Answered this question...see equation 2.2 (p 47).
- ...corrected
- - n is the population of state/level i or j (ni or nj,
- - g is the degeneracy (ie number with this energy) of state/level i or j (gi or gj,
- - E is the energy of state/level i or j (Ei or Ej,
- - k is Boltzmann's constant
- - T is the temperature.
- NOTE: Ei < Ej
Please study example problem 2.1 (p 47) and see if you can recreate the left figure....this one:
END
Thurs, Jan 20, 2022
Announcements
- 1) We will meet in CSB 377...in-person.
- 2) You must bring your lab notebook to lab.
- 3) If you wish, bring your laptop with Igor, Mathematica, and Excel loaded. Campus computer will be available with the mentioned software.
Lab Activities
All lab activities are documented in your carbon copy lab notebook.
1) Hydrogen Atom Emission Spectrum
- Sec 1.8
- Demonstration
2) Mathematica Activity
- - Plot --> sin x over 0-->10 range
- - Plot --> 10*sin x over 0-->10 range
- Add Manipulate to function --> a*sin x
- Add Manipulate to function --> a*sin (b*x)
- Add Manipulate to function --> a*sin (b*x + c)
- Add Manipulate to function --> a*sin (b*x + c) + d
- Wave Properties worksheet
3) Linear Combination of "Colors": An Igor Activity
- a) Collect the UV-Vis spectra for red, yellow, and blue food coloring solutions.
- b) Download ".csv" file (ASCII format) to a USB drive and return to your computer.
- c) "Load" these three sets of data (6 waves in total) into Igor and plot all three data sets on a single graph (360 nm - 800 nm)...suggested wave naming...red &rarr: red_wl and red_abs, etc.
- d) Now, collect the UV-Vis spectrum of a mixture provided; download, load into Igor, and plot on separate graph.
- We would now like to analyze this UV-Vis data of the mixture to determine the amount of each of the dyes present. What we are doing is "simulating" the mixture spectrum.
- e) "Duplicate" the mixture wave associated with the absorbance and call this wave "sim" for simulation.
- f) Go to the "command line" (box at the bottom of all Igor Experiments)...and type in sim=0.333*red_abs+0.333*yellow_abs+0.333*blue_abs, enter <--this command defines the wave "sim"
- g) Now append the sim trace/wave to the graph with your mixture spectrum...if the mixture spectrum was 1/3 red, 1/3 yellow, 1/3 blue, then it should match pretty well, but it probably is not 1/3, 1/3, 1/3...
- h) in the command window, click on the sim=... statement, it will highlight, then hit enter to move this to the command line...edit the 1/3 coefficients to make the sim match your mixture spectrum...done.
Fri, Jan 21, 2022
Announcements
- 1) Meet in CSB 318 at 11 am.